The Importance of Dynamic Flowmeter Testing
Liquid ultrasonic flowmeters are an optimal solution for hydrocarbon measurement for a variety of reasons. With no moving parts, they are low-maintenance meters, and their straight-through design minimizes pressure drop. Meanwhile, advances in ultrasonic metering electronics technology have enabled very high accuracies with the right dynamic testing.
As inference flowmeters, ultrasonics derive their measurement by calculating a liquid’s velocity through a given area—the throat area of the meter through which the liquid passes. The accuracy of those calculations is subject to a number of factors, including liquid viscosity, flowrate, and the presence of entrained solids, wax, water or gas. Low-flow, highly viscous liquids have a particularly significant impact on the flow profile of a liquid, which affects measurement. In order to be used for viscous products, such as heavy crude oil, for custody-transfer applications where accuracy is at a premium, an ultrasonic meter must be able to compensate for the velocity profile effects to obtain a highly accurate fluid velocity.
The key to determining the compensation necessary for an ultrasonic meter’s velocity calculations is to test the meter with the product flow characteristics it will experience in the field. But because no factory flow test lab can cost-effectively duplicate all field conditions—in particular, for high-viscosity fluids 350 cSt and higher—a process known as “dynamic testing” is used to simulate flow conditions in the confines of a factory lab setting. Dynamic testing produces highly accurate results for the simulated flow profile, which translate to field operations and performance.
With the use of a proper dynamic test plan, ultrasonic flowmeters can be programmed with special algorithms to measure almost any product viscosity and can make the meter appropriate for demanding, high-accuracy applications.
This article describes the basic principles of ultrasonic meter measurement and calculation and the science behind dynamic testing, illustrating the process with data from an ultrasonic meter factory test recently conducted for a North Sea operating company and its custody-transfer application.
Liquid Ultrasonic Flowmeter Operating Principle
Ultrasonic meters measure flow using high-frequency acoustic signals generated by piezoelectric transducers positioned at an angle to a flow stream. As the signals pass through moving fluid, their speed is affected—slowed, if moving against the fluid; and quickened, if moving with the fluid. The meter measures the difference in transit time between a pulse moving with the flow stream along a given path, and a pulse moving against the flow stream on the same path, and uses that difference to calculate a flow velocity for that path.
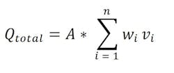
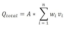
Velocity profiles are highly complex and one set of transducers measures the velocity along a single path, which represents a single sample of the total flow across the meter area. To determine the velocity profile more accurately, custody-transfer ultrasonic meters use multiple sets of transducers arranged on chordal paths. Ultrasonic meters then derive flowrate for fluid passing through the entire meter by calculating an average axial flow velocity in the pipe. This is done by summing the individual ultrasonic signal path velocities in the meter and then multiplying it by the flow area in the meter throat, as shown by the following equation:
where:
Qtotal = Volume flow rate; A = Meter throat area; v = Path velocity; w = Chordal path weighing factor
The number of paths, their location, and the algorithms that integrate the path velocities into an average velocity all contribute to the meter’s accuracy. Transverse velocity components—swirl and cross flow—are typically detected by the transducers and accounted for in the axial velocity calculations.
The flow area in the equation is the physical, geometric area based on the flowmeter’s inside diameter, which is a known and constant parameter. However, the effective flow area is one that is formed by the flowmeter inside diameter and the boundary layer—the layer of the fluid in contact with the surface of the pipe wall—which is influenced by the pipe wall roughness, fluid viscosity, and velocity at operating conditions, all which will affect the flow profile shape.
It’s this flow profile shape created by the pipe and fluid characteristics that is addressed by dynamic testing.
Boundary Layers, Flow Profiles and Reynolds Number
Figure 1 shows how the boundary layer thickness changes depending on the velocity and viscosity of the fluid passing through the meter. From left to right, the figure shows that, as velocity increases or viscosity decreases, the boundary layer decreases, which increases the effective flow area, and which flattens the average velocity distribution across the pipe.
As shown in the figure, the boundary layer defines a fluid’s specific velocity profile. For low-viscosity fluids flowing at a high velocity—such as refined products or light crude oils—the boundary layer is very small, producing a flat-shaped velocity profile across the pipe’s inside diameter. On the other hand, high-viscosity fluids flowing at lower velocity—such as thick crude oils—produce a larger boundary layer and a rounded, bell-shaped velocity profile.
Determining the profile and compensating for its effect on the calculated axial velocity is the key factor in the manufacturing of highly accurate ultrasonic meters that are used over a wide range of velocities and viscosities.
The fluid’s velocity profile is the result of viscous forces constraining a fluid’s inertial forces. When the viscous forces are greater than the inertial forces, the flow profile becomes parabolic. As inertial forces become greater, the flow stream becomes highly turbulent, which produces a flat, plug-shaped flow profile. Flow profile can also be affected by upstream pipe geometry and the condition of the pipe wall, so it is important to keep these factors constant. What matters in creating and measuring flow profile is not the composition of the individual forces, but the relationship between them.
This combination of fluid velocity and viscosity can be quantified using Reynolds Number. Low Reynolds Numbers correlate to fluids with low-flow/highly viscous characteristics that create parabolic flow profiles. High Reynolds Numbers correlate to fluids with high-flow/low-viscous characteristics that create flat, plug-shaped flow profiles.
It’s for that reason that, as Figure 2 demonstrates, fluid boundary layer and flow profile for given equipment under test will always be the same at the same Reynolds Number, regardless of the composition of the combination of velocity and viscosity.
Dynamic Factory Testing
Part of the process of manufacturing petroleum flowmeters is the factory flow test to verify that the flowmeter’s performance meets the specifications requirements. Conventional meters—such as positive-displacement flowmeters—are typically tested on a low viscous fluid (2 to 4 cSt) over a specified range and validated in the field in-situ under operating conditions.
Ultrasonic flowmeters for light-product applications can also be tested in low-viscosity factory tests. If the ultrasonic flowmeters are to be used in applications of a wide viscosity range, however—especially true for heavy crude-oil applications—they must be tested over both a flow and viscosity range known as the “dynamic range” under a process for testing called “dynamic testing.” The accuracy of the factory dynamic test determines how well ultrasonic flowmeters perform under actual operating conditions because these tests produce the characteristic data used in the development of a special algorithm to compensate for the viscous effects on fluid measured velocity.
Figure 3 demonstrates the need to accurately test ultrasonic meters for low Reynolds Number applications. The low-viscosity products produce high Reynolds Numbers and have more predictable results. Therefore, by obtaining water test data at 0.6 cSt at 40 C (104 F) it is possible to accurately predict the performance for liquid petroleum gas at 0.3 cSt. The same is not true for high-viscosity products, however. For medium or heavy crude oils, the Reynolds Number plot is inherent to the flowmeter size, type, flow range and viscosity range, where the deviation in meter factor from a light crude oil to medium or heavy crude oil can be 2 percent to 5 percent, or even greater, for flowmeters not optimized to operate in this range. Dynamic testing provides the data for the building of compensation algorithms for accurate optimization in low Reynolds Numbers ranges.
Because it is economically infeasible to exactly duplicate field operating conditions in the laboratory for heavy crude oil and other similar applications, new dynamic factory test protocols must be developed. Different from traditional factory testing, dynamic testing uses Reynolds Number to provide confidence that ultrasonic flowmeters fully meet the performance requirements over their complete operating range.
In short, dynamic testing tests the ultrasonic meters using a laboratory setup that replicates not the exact application, but the application range by Reynolds Number. That is, dynamic testing uses a combination of viscosity and velocity of the same Reynolds Number as the application.
Dynamic Test Example
Table 1 shows the field operating conditions for three sizes of multi-path ultrasonic meters—6”, 12” and 20” meters—with the flow ranges and product viscosity for each, along with their Reynolds Number ranges.
Table 2 shows the dynamic test conditions for 6”, 12” and 20” ultrasonic flowmeters. Using the fluid viscosity and flow range available in the test system, the Reynolds Number ranges are replicated from field operating conditions.
In the example, all three product viscosities were simulated with a 300 cSt test fluid by reducing the flowmeter’s maximum flowrate.
This method of dynamic similitude allows the flowmeter’s performance to be validated for service on higher or lower viscosities and flowrates than the specified field operating conditions. As long as the ultrasonic flowmeter is operating above its minimum specified flowrate, the test results are valid. Obviously, if higher viscosity test fluids are available for testing, the lower the achievable Reynolds Number.
For a wide dynamic operating range, multiple test systems and multiple test fluids may be required. Using multiple test systems is an accurate method of dynamic testing, as long as the same base-proving standard is used. For large volume hydrocarbon test laboratories, the proving standard is usually a displacement or tank or master meter prove method typically accredited to ISO/IEC 17025 standards.
Figure 4 shows the test results for dynamic testing for multiple fluids across two test systems—a high-flow (HF) test system and multi-viscosity (MV) test system.
In order to control flowrates and viscosity to maintain the proper Reynolds Number ranges, the test facility must have precise flow control and temperature stability. Temperature control is the largest contributing factor that determines how viscous of a fluid a test facility can handle and requires extensive heating and cooling systems.
Figures 5 and 6 show high-flow and multi-viscosity test systems, respectively. Note that both systems are tied to the same proving standard—a small volume master prover.
Case Study: 12-Inch Multi-Path Ultrasonic Meter
A major crude oil production company purchased a number of meters from FMC Technologies (fmctechnologies.com), including a 12-inch multi-path ultrasonic flowmeter. The 12-inch ultrasonic meter was used to measure crude oils ranging from 5 cSt to 350 cSt, while achieving a linearity of +/- 0.10 percent.
The customer’s operating conditions and Reynolds Number range is shown in Table 3. Table 4 shows the equivalent dynamic test range at FMC Technologies’ Flow Research and Test Center.
Utilizing the dynamic range, a detailed test plan was developed in which multiple test systems and products were used. The factory test plan thus covered the complete field measurement range. Tables 5 and 6 show the two test plans and the fluid flowrate, viscosity, and the Reynolds Number for each test.
The results of the two test plans (Tables 5 and 6) are shown in Figure 7, showing the overall linearity.
Representatives from the oil company witnessed the meter performance over the complete dynamic operating range, as outlined in the factory test program. The combined test results of K-factor vs flowrate are shown in Figure 8, which correlates the linearity to the Reynolds Number. Figure 9 shows the customer application flow range and linearity exceeding the customer’s requirements. While the two product tests would have covered the customer range, an additional test was conducted up to 220 cSt to verify the reduced sensitivity in K-factor variation with an increase in viscosity, thereby validating the robustness of the correction algorithm.
The Importance of Performance Verification
Liquid ultrasonic flowmeters have gained acceptance in the petroleum industry for a wide range of applications. Initially they were used for non-custody applications of light hydrocarbons. But with advances in microprocessor, transducer and electronic technology, multi-path ultrasonic meters can provide highly accurate flow measurement of crude oils, from light condensates with a viscosity of less than 0.5 cSt, to heavy crude oils over 2,000 cSt.
Developing and verifying the performance of these meters for field operating conditions is an essential part of the manufacturing process. It is especially important for high-viscosity fluids, for which velocity profile correction is required to provide accurate and linear measurement. The key parameters that determine meter performance are size, flowrate and viscosity, all related by a well-established dynamic parameter—Reynolds Number.
Through dynamic similitude, performance can be validated on a higher or lower viscosity than the operating fluid. Simply stated, performance at a given Reynolds Number is the same no matter the combination of flowrate and viscosity.
Jim Smith has a bachelor’s degree in Mechanical Engineering and 19 years of industry experience in liquid, gas and multiphase measurement. He has written and presented technical papers around the world related to petroleum measurement and metering technologies over the past eight years. Mr. Smith is a voting member of API and working group member of several technical standard committees. Mr. Smith can be reached at 814 898-5007 or [email protected].
Nicole Gailey has a bachelor’s degree in Mechanical Engineering and a master’s degree in Engineering Management. Currently she is pursuing her doctorate in Organizational Learning and Leadership, as well as a master’s in Business Administration. With over seven years of measurement experience, she continues to guide initiatives and assist in providing professional advice on operational processes, system optimization, facility design and solutions to all aspects of custody transfer and leak detection problems. Ms. Gailey has written numerous technical papers for Metrological Conferences and is a lead representation in key industry organizations for FMC Technologies. Ms. Gailey can be reached at 814 898-5403 or [email protected].
Raymond Kalivoda has a bachelor’s degree in Mechanical Engineering and a master’s degree in Business Administration. He worked for over 39 years in the petroleum flow measurement market where he served on numerous API flow measurement standards development committees and was a voting member of the API Petroleum Measurement Standards section. He has published numerous technical papers on flowmeters, presented measurement papers and seminars worldwide, and addressed metrology issues for lab certification and various international weights and measures approvals. Mr. Kalivoda can be reached at [email protected].
















