To help with thermowell design, ASME recently updated the Performance Test Code (PTC 19.3TW) standard on thermowell calculations. The ASME PTC 19.3TW-2010 standard covers only thermowell calculations and is a vast improvement to the short section on thermowell calculations in the overall temperature measurement standard, ASME PTC 19.3-1974. While the 1974 ASME thermowell standard had just four pages on thermowell calculations, the 2010 standard has more than 40. The three most notable changes in the updated ASME thermowell standard are highlighted below.
1. Inclusion of the In-Line Resonance Condition for ASME Thermowells
The 1974 ASME thermowell standard only considers vibration or oscillation in the direction transverse or perpendicular to the pipe. The 2010 standard includes vibration in the direction in-line with the pipe. This creates a new resonance region when evaluating the wake frequency ratio (comparison of the wake frequency to natural frequency).
Subsequently, the wake frequency ratio limit for liquids is reduced to 0.4 from 0.8. For gases, the area between the two resonance conditions (0.6
RELATED VIDEO: A Primer On the PTC 19.3 TW ASME Thermowell Calculation Standard
2. Calculation of the Strouhal Number for ASME Thermowells
The Strouhal number is a key component of the wake frequency calculation. It describes oscillating flow and varies depending on flow conditions. The 1974 ASME thermowell standard used a set Strouhal number of 0.22. The 2010 standard uses a variable Strouhal number that is dependent on the Reynolds number, which describes flow conditions. The calculations expressing the correlation between the two numbers are based on test results of smooth and rough cylinders in different flow conditions. For conservative results, the Strouhal number curve in the PTC 19.3TW standard follows the rough cylinder results.
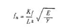
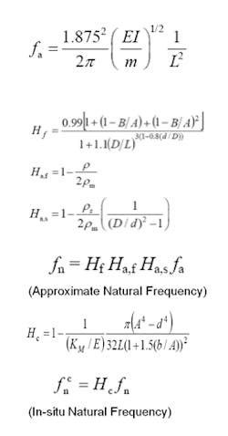
3. Improved Natural Frequency Calculations for ASME Thermowells
In the 1974 standard, the natural frequency calculations were very simple tables from which you could interpolate and extrapolate results.
This blog post is based on a larger feature article that will appear in the June issue of Flow Control magazine. If you are not yet a subscriber to the print issue of Flow Control magazine, click here for a FREE SUBSCRIPTION.




